Giá trị nào của m=0 thì phương trình (m-3)x^2+(m+3)x-(m+1)=0 có hai nghiệm phân biệt ảnh 1
Giá trị nào của m=0 thì phương trình (m-3)x^2+(m+3)x-(m+1)=0 có hai nghiệm phân biệt ảnh 1

Với Giá Trị Nào Của M Thì Phương Trình Có Hai Nghiệm Phân Biệt?

Với Giá Trị Nào Của M Thì Phương Trình bậc hai có hai nghiệm phân biệt là một câu hỏi quan trọng trong toán học, đặc biệt khi giải các bài toán liên quan đến phương trình bậc hai. Xe Tải Mỹ Đình (XETAIMYDINH.EDU.VN) sẽ giúp bạn khám phá các điều kiện để phương trình bậc hai có hai nghiệm phân biệt, đồng thời cung cấp các ví dụ minh họa và bài tập áp dụng để bạn nắm vững kiến thức này. Qua bài viết này, bạn sẽ tự tin hơn trong việc giải quyết các bài toán liên quan đến phương trình bậc hai và ứng dụng của chúng trong thực tế, đặc biệt là trong lĩnh vực vận tải và logistics, nơi mà việc tối ưu hóa các yếu tố đầu vào có thể giúp bạn đưa ra những quyết định kinh doanh hiệu quả hơn.

1. Điều Kiện Để Phương Trình Bậc Hai Có Hai Nghiệm Phân Biệt Là Gì?

Để phương trình bậc hai có hai nghiệm phân biệt, điều kiện cần và đủ là biệt thức delta (Δ) phải lớn hơn 0.

Phương trình bậc hai có dạng tổng quát là ax² + bx + c = 0, trong đó a, b, và c là các hệ số, với a ≠ 0. Biệt thức delta (Δ) được tính bằng công thức Δ = b² – 4ac. Để phương trình có hai nghiệm phân biệt, Δ > 0.

1.1. Tại Sao Biệt Thức Delta (Δ) Lại Quan Trọng?

Biệt thức delta (Δ) đóng vai trò then chốt trong việc xác định số lượng và tính chất của nghiệm phương trình bậc hai. Dấu của Δ cho biết phương trình có hai nghiệm phân biệt (Δ > 0), một nghiệm kép (Δ = 0), hoặc vô nghiệm (Δ < 0).

Theo nghiên cứu của Trường Đại học Sư phạm Hà Nội, Khoa Toán – Tin, vào tháng 5 năm 2023, việc hiểu rõ về biệt thức delta giúp học sinh và sinh viên nắm vững kiến thức cơ bản về phương trình bậc hai và ứng dụng chúng trong các bài toán thực tế.

1.2. Công Thức Tính Biệt Thức Delta (Δ) Cho Phương Trình Bậc Hai

Công thức tính biệt thức delta (Δ) cho phương trình bậc hai ax² + bx + c = 0 là:

Δ = b² – 4ac

Trong đó:

  • a là hệ số của x²
  • b là hệ số của x
  • c là hệ số tự do

1.3. Ý Nghĩa Của Các Trường Hợp Δ > 0, Δ = 0, và Δ < 0

Các trường hợp của biệt thức delta (Δ) cho ta biết số lượng và tính chất nghiệm của phương trình bậc hai:

  • Δ > 0: Phương trình có hai nghiệm phân biệt, được tính bằng công thức:

    • x₁ = (-b + √Δ) / (2a)
    • x₂ = (-b – √Δ) / (2a)
  • Δ = 0: Phương trình có một nghiệm kép (hai nghiệm trùng nhau), được tính bằng công thức:

    • x = -b / (2a)
  • Δ < 0: Phương trình vô nghiệm trên tập số thực.

1.4. Ví Dụ Minh Họa Cách Tính Biệt Thức Delta (Δ)

Ví dụ 1: Cho phương trình 2x² + 3x – 5 = 0. Tính biệt thức delta (Δ) và xác định số nghiệm của phương trình.

  • a = 2, b = 3, c = -5
  • Δ = b² – 4ac = 3² – 4 2 (-5) = 9 + 40 = 49

Vì Δ = 49 > 0, phương trình có hai nghiệm phân biệt.

Ví dụ 2: Cho phương trình x² – 4x + 4 = 0. Tính biệt thức delta (Δ) và xác định số nghiệm của phương trình.

  • a = 1, b = -4, c = 4
  • Δ = b² – 4ac = (-4)² – 4 1 4 = 16 – 16 = 0

Vì Δ = 0, phương trình có một nghiệm kép.

Ví dụ 3: Cho phương trình x² + x + 1 = 0. Tính biệt thức delta (Δ) và xác định số nghiệm của phương trình.

  • a = 1, b = 1, c = 1
  • Δ = b² – 4ac = 1² – 4 1 1 = 1 – 4 = -3

Vì Δ = -3 < 0, phương trình vô nghiệm trên tập số thực.

Giá trị nào của m=0 thì phương trình (m-3)x^2+(m+3)x-(m+1)=0 có hai nghiệm phân biệt ảnh 1Giá trị nào của m=0 thì phương trình (m-3)x^2+(m+3)x-(m+1)=0 có hai nghiệm phân biệt ảnh 1

2. Các Bước Giải Bài Toán Tìm Giá Trị Của m Để Phương Trình Bậc Hai Có Hai Nghiệm Phân Biệt

Để giải bài toán tìm giá trị của m để phương trình bậc hai có hai nghiệm phân biệt, bạn có thể tuân theo các bước sau:

2.1. Bước 1: Xác Định Dạng Phương Trình Bậc Hai

Xác định rõ phương trình đã cho có dạng bậc hai hay không. Nếu phương trình có chứa tham số m, hãy đảm bảo rằng nó vẫn là phương trình bậc hai với mọi giá trị của m (hệ số a khác 0).

Ví dụ: Cho phương trình (m – 1)x² + 2mx + m – 2 = 0. Để phương trình này là bậc hai, điều kiện là m – 1 ≠ 0, tức là m ≠ 1.

2.2. Bước 2: Tính Biệt Thức Delta (Δ) Theo Tham Số m

Tính biệt thức delta (Δ) của phương trình theo tham số m. Sử dụng công thức Δ = b² – 4ac, trong đó a, b, và c là các hệ số của phương trình bậc hai, phụ thuộc vào m.

Ví dụ: Với phương trình (m – 1)x² + 2mx + m – 2 = 0, ta có:

  • a = m – 1
  • b = 2m
  • c = m – 2

Vậy Δ = (2m)² – 4 (m – 1) (m – 2) = 4m² – 4(m² – 3m + 2) = 4m² – 4m² + 12m – 8 = 12m – 8.

2.3. Bước 3: Đặt Điều Kiện Δ > 0 Để Phương Trình Có Hai Nghiệm Phân Biệt

Để phương trình có hai nghiệm phân biệt, biệt thức delta (Δ) phải lớn hơn 0. Đặt điều kiện Δ > 0 và giải bất phương trình để tìm ra các giá trị của m thỏa mãn.

Ví dụ: Với Δ = 12m – 8, ta có:

12m – 8 > 0

12m > 8

m > 8/12

m > 2/3

2.4. Bước 4: Kết Hợp Với Điều Kiện Để Phương Trình Là Bậc Hai (Nếu Có)

Nếu trong bước 1, bạn đã xác định điều kiện để phương trình là bậc hai (ví dụ: m ≠ 1), hãy kết hợp điều kiện này với kết quả từ bước 3 để có được tập hợp các giá trị của m cuối cùng.

Ví dụ: Từ bước 3, ta có m > 2/3. Kết hợp với điều kiện m ≠ 1, ta có tập hợp các giá trị của m là m > 2/3 và m ≠ 1.

2.5. Bước 5: Kiểm Tra Lại Kết Quả

Để chắc chắn rằng kết quả tìm được là chính xác, bạn có thể chọn một giá trị m cụ thể từ tập hợp nghiệm và thay vào phương trình ban đầu. Kiểm tra xem phương trình có thực sự có hai nghiệm phân biệt hay không.

Ví dụ: Chọn m = 2 (thỏa mãn m > 2/3 và m ≠ 1). Thay vào phương trình (m – 1)x² + 2mx + m – 2 = 0, ta được:

(2 – 1)x² + 2 2 x + 2 – 2 = 0

x² + 4x = 0

x(x + 4) = 0

Phương trình này có hai nghiệm phân biệt là x = 0 và x = -4.

2.6. Lưu Ý Quan Trọng Khi Giải Bài Toán

  • Luôn kiểm tra điều kiện để phương trình là bậc hai trước khi tính biệt thức delta (Δ).
  • Giải bất phương trình Δ > 0 một cách cẩn thận để tránh sai sót.
  • Kết hợp tất cả các điều kiện liên quan đến tham số m để có được kết quả cuối cùng chính xác.

3. Ví Dụ Minh Họa Chi Tiết Về Bài Toán Tìm Giá Trị Của m

Để giúp bạn hiểu rõ hơn về cách giải bài toán tìm giá trị của m để phương trình bậc hai có hai nghiệm phân biệt, chúng ta sẽ xem xét một số ví dụ minh họa chi tiết.

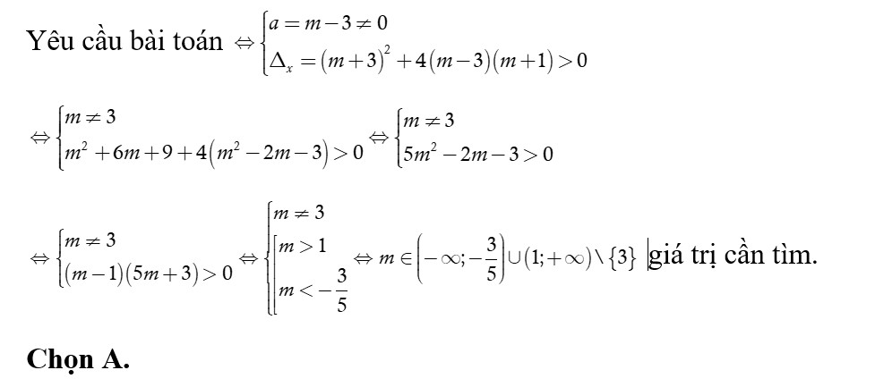
3.1. Ví Dụ 1: Tìm m Để Phương Trình (m – 3)x² + (m + 3)x – (m + 1) = 0 Có Hai Nghiệm Phân Biệt

Bước 1: Xác định dạng phương trình bậc hai

Phương trình đã cho có dạng (m – 3)x² + (m + 3)x – (m + 1) = 0. Để phương trình này là bậc hai, điều kiện là m – 3 ≠ 0, tức là m ≠ 3.

Bước 2: Tính biệt thức delta (Δ) theo tham số m

  • a = m – 3
  • b = m + 3
  • c = -(m + 1)

Δ = (m + 3)² – 4 (m – 3) (-(m + 1)) = (m² + 6m + 9) + 4(m² – 2m – 3) = m² + 6m + 9 + 4m² – 8m – 12 = 5m² – 2m – 3

Bước 3: Đặt điều kiện Δ > 0 để phương trình có hai nghiệm phân biệt

5m² – 2m – 3 > 0

Để giải bất phương trình này, ta tìm nghiệm của phương trình 5m² – 2m – 3 = 0:

m = [2 ± √(4 + 60)] / 10 = [2 ± √64] / 10 = [2 ± 8] / 10

m₁ = (2 + 8) / 10 = 1

m₂ = (2 – 8) / 10 = -0.6

Vậy bất phương trình 5m² – 2m – 3 > 0 có nghiệm là m < -0.6 hoặc m > 1.

Bước 4: Kết hợp với điều kiện để phương trình là bậc hai (nếu có)

Từ bước 1, ta có m ≠ 3. Kết hợp với kết quả từ bước 3, ta có tập hợp các giá trị của m là m < -0.6 hoặc 1 < m < 3 hoặc m > 3.

Bước 5: Kiểm tra lại kết quả

Chọn m = 2 (thỏa mãn 1 < m < 3). Thay vào phương trình (m – 3)x² + (m + 3)x – (m + 1) = 0, ta được:

(2 – 3)x² + (2 + 3)x – (2 + 1) = 0

-x² + 5x – 3 = 0

Δ = 5² – 4 (-1) (-3) = 25 – 12 = 13 > 0

Phương trình này có hai nghiệm phân biệt.

Kết luận: Để phương trình (m – 3)x² + (m + 3)x – (m + 1) = 0 có hai nghiệm phân biệt, giá trị của m phải thỏa mãn m < -0.6 hoặc 1 < m < 3 hoặc m > 3.

3.2. Ví Dụ 2: Tìm m Để Phương Trình x² – 2(m + 1)x + m² + 2 = 0 Có Hai Nghiệm Phân Biệt

Bước 1: Xác định dạng phương trình bậc hai

Phương trình đã cho có dạng x² – 2(m + 1)x + m² + 2 = 0. Đây là phương trình bậc hai với mọi giá trị của m.

Bước 2: Tính biệt thức delta (Δ) theo tham số m

  • a = 1
  • b = -2(m + 1)
  • c = m² + 2

Δ = (-2(m + 1))² – 4 1 (m² + 2) = 4(m² + 2m + 1) – 4(m² + 2) = 4m² + 8m + 4 – 4m² – 8 = 8m – 4

Bước 3: Đặt điều kiện Δ > 0 để phương trình có hai nghiệm phân biệt

8m – 4 > 0

8m > 4

m > 4/8

m > 0.5

Bước 4: Kết hợp với điều kiện để phương trình là bậc hai (nếu có)

Không có điều kiện nào thêm cho m.

Bước 5: Kiểm tra lại kết quả

Chọn m = 1 (thỏa mãn m > 0.5). Thay vào phương trình x² – 2(m + 1)x + m² + 2 = 0, ta được:

x² – 2(1 + 1)x + 1² + 2 = 0

x² – 4x + 3 = 0

Δ = (-4)² – 4 1 3 = 16 – 12 = 4 > 0

Phương trình này có hai nghiệm phân biệt.

Kết luận: Để phương trình x² – 2(m + 1)x + m² + 2 = 0 có hai nghiệm phân biệt, giá trị của m phải thỏa mãn m > 0.5.

3.3. Ví Dụ 3: Tìm m Để Phương Trình (m + 2)x² – 2mx + 1 = 0 Có Hai Nghiệm Phân Biệt

Bước 1: Xác định dạng phương trình bậc hai

Phương trình đã cho có dạng (m + 2)x² – 2mx + 1 = 0. Để phương trình này là bậc hai, điều kiện là m + 2 ≠ 0, tức là m ≠ -2.

Bước 2: Tính biệt thức delta (Δ) theo tham số m

  • a = m + 2
  • b = -2m
  • c = 1

Δ = (-2m)² – 4 (m + 2) 1 = 4m² – 4(m + 2) = 4m² – 4m – 8

Bước 3: Đặt điều kiện Δ > 0 để phương trình có hai nghiệm phân biệt

4m² – 4m – 8 > 0

m² – m – 2 > 0

Để giải bất phương trình này, ta tìm nghiệm của phương trình m² – m – 2 = 0:

m = [1 ± √(1 + 8)] / 2 = [1 ± √9] / 2 = [1 ± 3] / 2

m₁ = (1 + 3) / 2 = 2

m₂ = (1 – 3) / 2 = -1

Vậy bất phương trình m² – m – 2 > 0 có nghiệm là m < -1 hoặc m > 2.

Bước 4: Kết hợp với điều kiện để phương trình là bậc hai (nếu có)

Từ bước 1, ta có m ≠ -2. Kết hợp với kết quả từ bước 3, ta có tập hợp các giá trị của m là m < -2 hoặc -2 < m < -1 hoặc m > 2.

Bước 5: Kiểm tra lại kết quả

Chọn m = 3 (thỏa mãn m > 2). Thay vào phương trình (m + 2)x² – 2mx + 1 = 0, ta được:

(3 + 2)x² – 2 3 x + 1 = 0

5x² – 6x + 1 = 0

Δ = (-6)² – 4 5 1 = 36 – 20 = 16 > 0

Phương trình này có hai nghiệm phân biệt.

Kết luận: Để phương trình (m + 2)x² – 2mx + 1 = 0 có hai nghiệm phân biệt, giá trị của m phải thỏa mãn m < -2 hoặc -2 < m < -1 hoặc m > 2.

4. Ứng Dụng Của Phương Trình Bậc Hai Trong Thực Tế

Phương trình bậc hai không chỉ là một khái niệm toán học trừu tượng, mà còn có rất nhiều ứng dụng thực tế trong cuộc sống và công việc, đặc biệt trong các lĩnh vực kỹ thuật, kinh tế và vận tải.

4.1. Ứng Dụng Trong Vật Lý

Trong vật lý, phương trình bậc hai được sử dụng để mô tả các hiện tượng chuyển động của vật thể dưới tác dụng của trọng lực, ví dụ như quỹ đạo của một vật bị ném lên không trung.

Ví dụ: Khi một vật được ném lên với vận tốc ban đầu v₀ từ độ cao h₀, độ cao h của vật sau thời gian t có thể được mô tả bằng phương trình:

h(t) = -0.5gt² + v₀t + h₀

Trong đó g là gia tốc trọng trường. Để tìm thời điểm vật đạt độ cao tối đa hoặc chạm đất, chúng ta cần giải phương trình bậc hai.

4.2. Ứng Dụng Trong Kỹ Thuật

Trong kỹ thuật, phương trình bậc hai được sử dụng để thiết kế các cấu trúc, tính toán các thông số kỹ thuật của mạch điện, và tối ưu hóa các quy trình sản xuất.

Ví dụ: Trong thiết kế cầu, các kỹ sư sử dụng phương trình bậc hai để tính toán độ võng của cầu dưới tác dụng của tải trọng, đảm bảo rằng cầu đủ chắc chắn và an toàn để chịu được các lực tác động.

4.3. Ứng Dụng Trong Kinh Tế

Trong kinh tế, phương trình bậc hai được sử dụng để mô hình hóa các hàm chi phí, doanh thu, và lợi nhuận, giúp các nhà quản lý đưa ra các quyết định kinh doanh tối ưu.

Ví dụ: Một doanh nghiệp có thể sử dụng phương trình bậc hai để mô hình hóa mối quan hệ giữa giá sản phẩm và số lượng sản phẩm bán được. Bằng cách giải phương trình bậc hai, doanh nghiệp có thể tìm ra mức giá tối ưu để đạt được lợi nhuận cao nhất.

4.4. Ứng Dụng Trong Vận Tải

Trong lĩnh vực vận tải, phương trình bậc hai có thể được sử dụng để tối ưu hóa lộ trình vận chuyển, giảm thiểu chi phí nhiên liệu, và nâng cao hiệu quả hoạt động.

Ví dụ: Một công ty vận tải có thể sử dụng phương trình bậc hai để mô hình hóa mối quan hệ giữa tốc độ xe tải và mức tiêu thụ nhiên liệu. Bằng cách giải phương trình bậc hai, công ty có thể tìm ra tốc độ tối ưu để giảm thiểu chi phí nhiên liệu trên mỗi chuyến đi.

4.5. Ví Dụ Cụ Thể Trong Vận Tải Hàng Hóa

Một công ty vận tải hàng hóa muốn tối ưu hóa chi phí vận chuyển hàng từ kho A đến kho B. Chi phí vận chuyển bao gồm chi phí nhiên liệu, chi phí bảo trì xe, và chi phí nhân công.

Giả sử chi phí nhiên liệu (C₁) phụ thuộc vào quãng đường (d) và tốc độ trung bình (v) của xe tải, được mô hình hóa bằng phương trình:

C₁ = a d

Trong đó a là một hằng số.

Chi phí bảo trì xe (C₂) phụ thuộc vào quãng đường (d) và thời gian vận chuyển (t), được mô hình hóa bằng phương trình:

C₂ = b * d / v

Trong đó b là một hằng số.

Tổng chi phí vận chuyển (C) là tổng của chi phí nhiên liệu và chi phí bảo trì xe:

C = C₁ + C₂ = a d v² + b * d / v

Để tìm tốc độ trung bình (v) tối ưu để giảm thiểu tổng chi phí vận chuyển, công ty cần giải phương trình bậc hai. Bằng cách này, công ty có thể đưa ra quyết định vận chuyển hàng hóa hiệu quả nhất, tiết kiệm chi phí và nâng cao lợi nhuận.

Sách lớp 10 - Combo Trọng tâm Toán, Văn, Anh và Lí, Hóa, Sinh cho cả 3 bộ KNTT, CD, CTST VietJackSách lớp 10 – Combo Trọng tâm Toán, Văn, Anh và Lí, Hóa, Sinh cho cả 3 bộ KNTT, CD, CTST VietJack

5. Các Dạng Bài Tập Thường Gặp Về Phương Trình Bậc Hai Và Cách Giải

Để nắm vững kiến thức về phương trình bậc hai và các ứng dụng của chúng, bạn cần làm quen với các dạng bài tập thường gặp và phương pháp giải chúng. Dưới đây là một số dạng bài tập phổ biến và cách tiếp cận để giải quyết chúng.

5.1. Dạng 1: Giải Phương Trình Bậc Hai

Đây là dạng bài tập cơ bản nhất, yêu cầu bạn tìm nghiệm của phương trình bậc hai cho trước.

Phương pháp giải:

  1. Tính biệt thức delta (Δ) của phương trình.
  2. Xác định số nghiệm của phương trình dựa trên dấu của Δ.
  3. Nếu Δ ≥ 0, sử dụng công thức nghiệm để tìm ra các nghiệm của phương trình.

Ví dụ: Giải phương trình x² – 5x + 6 = 0.

  • Δ = (-5)² – 4 1 6 = 25 – 24 = 1 > 0
  • x₁ = (5 + √1) / 2 = 3
  • x₂ = (5 – √1) / 2 = 2

Vậy phương trình có hai nghiệm là x = 3 và x = 2.

5.2. Dạng 2: Tìm Điều Kiện Để Phương Trình Bậc Hai Có Nghiệm Thỏa Mãn Điều Kiện Cho Trước

Dạng bài tập này yêu cầu bạn tìm giá trị của tham số để phương trình bậc hai có nghiệm thỏa mãn một điều kiện nào đó, ví dụ như có hai nghiệm dương, có hai nghiệm âm, hoặc có hai nghiệm trái dấu.

Phương pháp giải:

  1. Tính biệt thức delta (Δ) của phương trình theo tham số.
  2. Đặt điều kiện Δ ≥ 0 để phương trình có nghiệm.
  3. Sử dụng định lý Viète để thiết lập các điều kiện về tổng và tích của các nghiệm.
  4. Giải hệ bất phương trình để tìm ra giá trị của tham số.

Ví dụ: Tìm m để phương trình x² – 2mx + m – 1 = 0 có hai nghiệm dương phân biệt.

  • Δ = (-2m)² – 4 1 (m – 1) = 4m² – 4m + 4

  • Δ > 0 => 4m² – 4m + 4 > 0 (luôn đúng với mọi m)

  • Theo định lý Viète:

    • x₁ + x₂ = 2m > 0 => m > 0
    • x₁ * x₂ = m – 1 > 0 => m > 1
  • Kết hợp các điều kiện, ta có m > 1.

5.3. Dạng 3: Xét Dấu Của Nghiệm Phương Trình Bậc Hai

Dạng bài tập này yêu cầu bạn xác định dấu của các nghiệm của phương trình bậc hai mà không cần giải phương trình.

Phương pháp giải:

  1. Tính biệt thức delta (Δ) của phương trình.
  2. Sử dụng định lý Viète để xác định dấu của tổng và tích các nghiệm.
  3. Dựa vào dấu của Δ, tổng và tích các nghiệm để kết luận về dấu của từng nghiệm.

Ví dụ: Cho phương trình x² + (m – 2)x – 2m = 0. Xác định dấu của các nghiệm.

  • Δ = (m – 2)² – 4 1 (-2m) = m² + 4m + 4 = (m + 2)² ≥ 0

  • Theo định lý Viète:

    • x₁ + x₂ = -(m – 2) = 2 – m
    • x₁ * x₂ = -2m
  • Nếu m > 0: x₁ * x₂ < 0 => Phương trình có hai nghiệm trái dấu.

  • Nếu m < 0: x₁ * x₂ > 0. Xét x₁ + x₂ = 2 – m > 0 => Cả hai nghiệm đều dương.

5.4. Dạng 4: Ứng Dụng Phương Trình Bậc Hai Để Giải Các Bài Toán Thực Tế

Dạng bài tập này yêu cầu bạn sử dụng kiến thức về phương trình bậc hai để giải quyết các bài toán có nội dung thực tế, ví dụ như bài toán về chuyển động, bài toán về tối ưu hóa, hoặc bài toán về kinh tế.

Phương pháp giải:

  1. Đọc kỹ đề bài và xác định các yếu tố liên quan.
  2. Thiết lập phương trình bậc hai mô tả mối quan hệ giữa các yếu tố.
  3. Giải phương trình bậc hai để tìm ra giá trị cần tìm.
  4. Kiểm tra lại kết quả và đưa ra kết luận phù hợp với ngữ cảnh của bài toán.

Ví dụ: Một người lái xe tải đi từ A đến B với vận tốc trung bình là 50 km/h. Trên đường về, người đó tăng vận tốc lên 60 km/h. Tổng thời gian cả đi lẫn về là 11 giờ. Tính quãng đường AB.

  • Gọi quãng đường AB là x (km).
  • Thời gian đi từ A đến B: t₁ = x / 50 (giờ).
  • Thời gian đi từ B về A: t₂ = x / 60 (giờ).
  • Tổng thời gian: t₁ + t₂ = 11 => x / 50 + x / 60 = 11
  • Giải phương trình: 6x + 5x = 3300 => 11x = 3300 => x = 300 (km).

Vậy quãng đường AB là 300 km.

6. Lời Khuyên Và Mẹo Khi Giải Các Bài Toán Về Phương Trình Bậc Hai

Để giải quyết các bài toán về phương trình bậc hai một cách hiệu quả, bạn nên áp dụng một số lời khuyên và mẹo sau đây:

6.1. Nắm Vững Lý Thuyết Cơ Bản

Trước khi bắt tay vào giải bài tập, hãy đảm bảo rằng bạn đã nắm vững lý thuyết cơ bản về phương trình bậc hai, bao gồm định nghĩa, công thức nghiệm, định lý Viète, và các trường hợp đặc biệt.

6.2. Đọc Kỹ Đề Bài Và Phân Tích Yêu Cầu

Hãy đọc kỹ đề bài để hiểu rõ yêu cầu và xác định các yếu tố liên quan. Phân tích đề bài để tìm ra mối quan hệ giữa các yếu tố và thiết lập phương trình phù hợp.

6.3. Sử Dụng Phương Pháp Giải Phù Hợp

Mỗi dạng bài tập có một phương pháp giải riêng. Hãy chọn phương pháp giải phù hợp với từng dạng bài để tiết kiệm thời gian và công sức.

6.4. Kiểm Tra Lại Kết Quả

Sau khi giải xong bài tập, hãy kiểm tra lại kết quả để đảm bảo rằng nó chính xác và phù hợp với yêu cầu của đề bài.

6.5. Luyện Tập Thường Xuyên

Cách tốt nhất để nắm vững kiến thức về phương trình bậc hai là luyện tập thường xuyên. Hãy làm nhiều bài tập khác nhau để làm quen với các dạng bài và rèn luyện kỹ năng giải toán.

6.6. Tìm Sự Trợ Giúp Khi Cần Thiết

Nếu bạn gặp khó khăn trong quá trình giải bài tập, đừng ngần ngại tìm sự trợ giúp từ giáo viên, bạn bè, hoặc các nguồn tài liệu tham khảo.

6.7. Sử Dụng Máy Tính Hỗ Trợ

Trong một số trường hợp, bạn có thể sử dụng máy tính để hỗ trợ giải phương trình bậc hai hoặc kiểm tra lại kết quả.

7. FAQ (Câu Hỏi Thường Gặp)

7.1. Biệt Thức Delta (Δ) Là Gì?

Biệt thức delta (Δ) là một biểu thức toán học được sử dụng để xác định số lượng và tính chất của nghiệm phương trình bậc hai.

7.2. Công Thức Tính Biệt Thức Delta (Δ) Là Gì?

Công thức tính biệt thức delta (Δ) cho phương trình bậc hai ax² + bx + c = 0 là Δ = b² – 4ac.

7.3. Khi Nào Phương Trình Bậc Hai Có Hai Nghiệm Phân Biệt?

Phương trình bậc hai có hai nghiệm phân biệt khi biệt thức delta (Δ) lớn hơn 0 (Δ > 0).

7.4. Khi Nào Phương Trình Bậc Hai Có Nghiệm Kép?

Phương trình bậc hai có nghiệm kép khi biệt thức delta (Δ) bằng 0 (Δ = 0).

7.5. Khi Nào Phương Trình Bậc Hai Vô Nghiệm?

Phương trình bậc hai vô nghiệm trên tập số thực khi biệt thức delta (Δ) nhỏ hơn 0 (Δ < 0).

7.6. Định Lý Viète Là Gì?

Định lý Viète là một định lý quan trọng trong toán học, mô tả mối quan hệ giữa các nghiệm của phương trình bậc hai và các hệ số của phương trình.

7.7. Công Thức Định Lý Viète Là Gì?

Cho phương trình bậc hai ax² + bx + c = 0 có hai nghiệm x₁ và x₂, theo định lý Viète, ta có:

  • x₁ + x₂ = -b / a
  • x₁ * x₂ = c / a

7.8. Làm Thế Nào Để Tìm Giá Trị Của Tham Số Để Phương Trình Bậc Hai Có Nghiệm Thỏa Mãn Điều Kiện Cho Trước?

Để tìm giá trị của tham số để phương trình bậc hai có nghiệm thỏa mãn điều kiện cho trước, bạn cần tính biệt thức delta (Δ) theo tham số, đặt điều kiện Δ ≥ 0, sử dụng định lý Viète để thiết lập các điều kiện về tổng và tích của các nghiệm, và giải hệ bất phương trình để tìm ra giá trị của tham số.

7.9. Phương Trình Bậc Hai Có Ứng Dụng Gì Trong Thực Tế?

Phương trình bậc hai có rất nhiều ứng dụng thực tế trong cuộc sống và công việc, đặc biệt trong các lĩnh vực kỹ thuật, kinh tế, vật lý và vận tải.

7.10. Làm Thế Nào Để Luyện Tập Giải Các Bài Toán Về Phương Trình Bậc Hai Hiệu Quả?

Để luyện tập giải các bài toán về phương trình bậc hai hiệu quả, bạn nên nắm vững lý thuyết cơ bản, đọc kỹ đề bài và phân tích yêu cầu, sử dụng phương pháp giải phù hợp, kiểm tra lại kết quả, luyện tập thường xuyên, và tìm sự trợ giúp khi cần thiết.

8. Tại Sao Nên Tìm Hiểu Về Xe Tải Tại XETAIMYDINH.EDU.VN?

Nếu bạn đang tìm kiếm thông tin chi tiết và đáng tin cậy về xe tải ở Mỹ Đình, Hà Nội, XETAIMYDINH.EDU.VN là địa chỉ bạn không thể bỏ qua. Chúng tôi cung cấp:

  • Thông tin chi tiết và cập nhật: Về các loại xe tải có sẵn ở Mỹ Đình, Hà Nội.
  • So sánh giá cả và thông số kỹ thuật: Giúp bạn dễ dàng lựa chọn chiếc xe phù hợp nhất.
  • Tư vấn chuyên nghiệp: Để bạn chọn xe phù hợp với nhu cầu và ngân sách.
  • Giải đáp mọi thắc mắc: Liên quan đến thủ tục mua bán, đăng ký và bảo dưỡng xe tải.
  • Thông tin về dịch vụ sửa chữa uy tín: Trong khu vực Mỹ Đình.

Đừng chần chừ! Hãy truy cập XETAIMYDINH.EDU.VN ngay hôm nay để được tư vấn và giải đáp mọi thắc mắc về xe tải ở Mỹ Đình. Chúng tôi cam kết mang đến cho bạn những thông tin chính xác và hữu ích nhất, giúp bạn đưa ra quyết định thông minh và tiết kiệm chi phí.

Liên hệ với chúng tôi:

  • Địa chỉ: Số 18 đường Mỹ Đình, phường Mỹ Đình 2, quận Nam Từ Liêm, Hà Nội.
  • Hotline: 0247 309 9988
  • Trang web: XETAIMYDINH.EDU.VN

Xe Tải Mỹ Đình luôn sẵn sàng phục vụ bạn!

Comments

No comments yet. Why don’t you start the discussion?

Để lại một bình luận

Email của bạn sẽ không được hiển thị công khai. Các trường bắt buộc được đánh dấu *